Determina si el conjunto dado de vectores genera el espacio vectorial dado.
En los siguientes problemas determina si el conjunto de vectores dado es linealmente dependiente o independiente
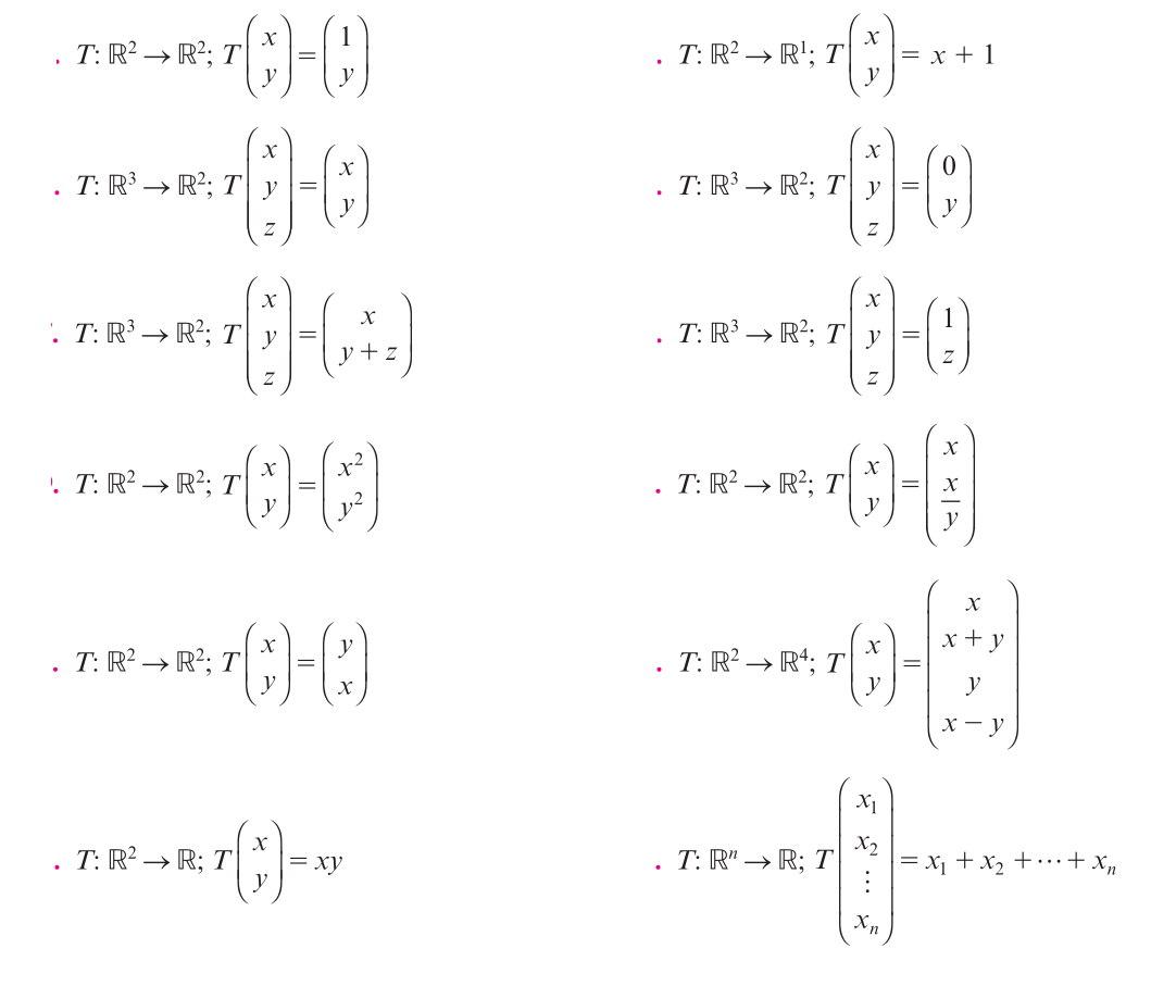
En los siguientes problemas, determina si la transformación de V en W $\left( T: V \rightarrow W \right)$ es lineal
Se que son muchos pero recuerden que muchos son del mismo tipo





No hay comentarios. :
Publicar un comentario